Këto janë raportet e plota që erdhën nga Zvicra për vdekjen e Astrit Deharit

E publikuar: 24/10/2019 21:44
Rreshtat+- AShkronjat+- Printo

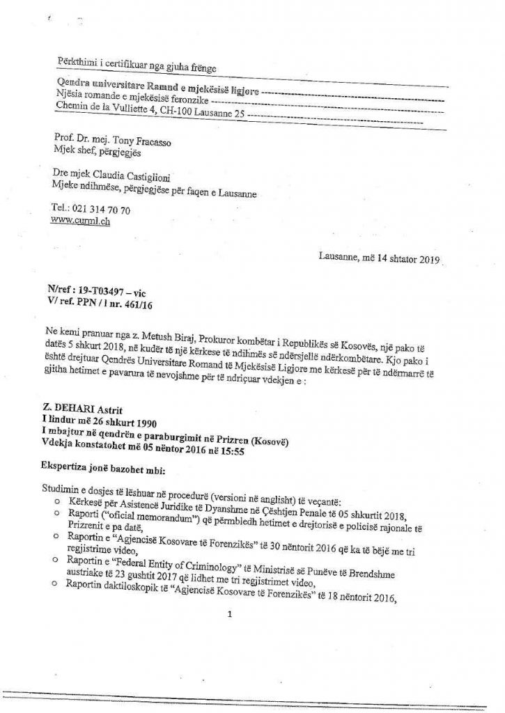
Nga Instituti i Mjekësisë Ligjore në Lozanë është kryer ekspertiza mbi vdekjen e aktivistit të Vetëvendosjes, Astrit Dehari, i cili u gjetë pa jetë në qendrën e paraburgimit në Prizren.

Avokati i familjes Dehari, Tomë Gashi, ka dërguar raportin e plotë të kryer në Zvicër, të cilin Prokuroria Themelore e Prizrenit, ia dorëzoi familjes së Astritit dhe avokatit.

Në konkluzionet e raporti përfundimtar thuhet se “në fakt hipoteza e një vetëvrasjeje e z. Dehari Astrit, përmes mjeteve të caktuar nga mjekët ligjorë duket pak e vertetë dhe intervenimi i një personi të tretë duhet të kihet parasysh”.

Ndërsa bashkëngjitur është edhe raporti i zgjeruar që ka 45 faqe.

Raporti i plotë

 

https://drive.google.com/file/d/1san-9mTaCk-lgxm9q3Mm6V4wjPtnTAs1/view